MATEMÁTICA - 6ºano
terça-feira, 9 de outubro de 2018
Exercício resolvido
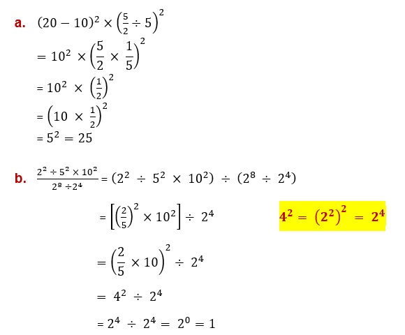
1. Calcula utilizando, sempre que possível, as regras de operações com potências.
Sem comentários:
Enviar um comentário
Mensagem mais recente
Mensagem antiga
Página inicial
Subscrever:
Enviar feedback (Atom)
Sem comentários:
Enviar um comentário